Przeskocz do treści

Matematyka Korepetycje

Korepetycje z matematyki z nauczycielką

  • Strona główna
  • Oferta
  • Informacje przed lekcją
  • Zadania domowe
  • Wolne terminy
  • Baza wiedzy
  • Facebook
  • TikTok
  • Instagram

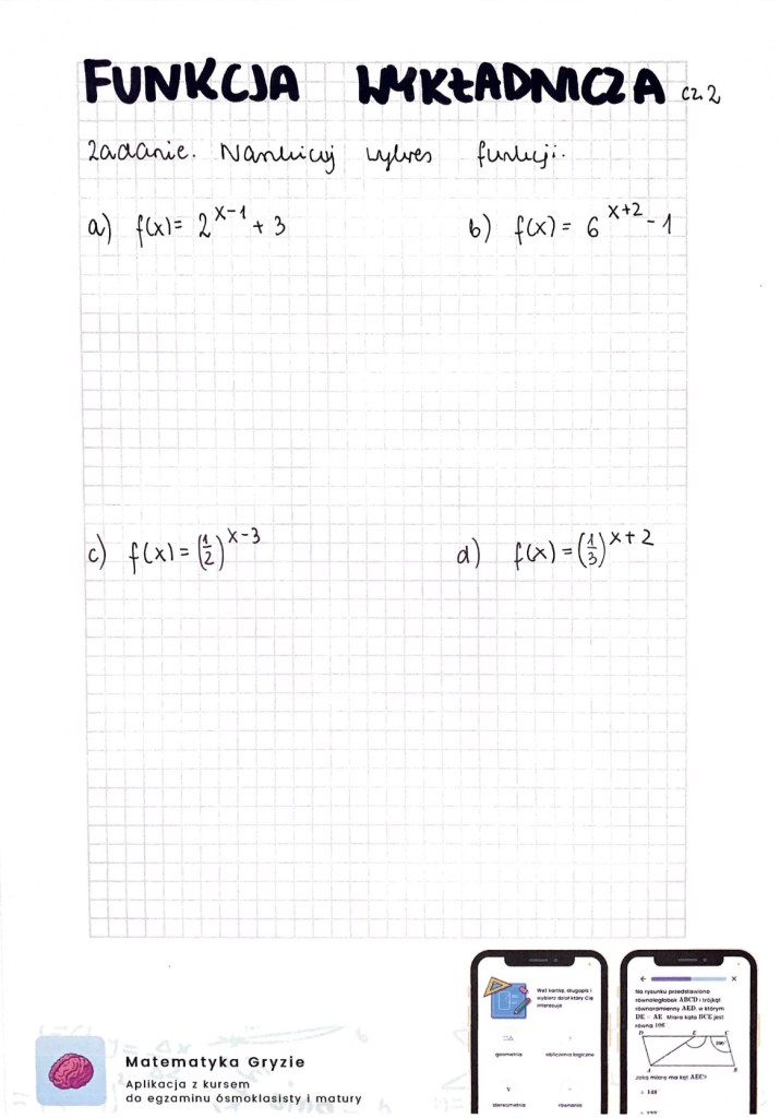
Funkcja wykładnicza

Udostępnij:

  • Udostępnij na X (Otwiera się w nowym oknie) X
  • Udostępnij w serwisie Facebook (Otwiera się w nowym oknie) Facebook
Lubię Wczytywanie…


Zapraszam na moje pełne kursy na https://app.matematykagryzie.pl/

  • Instagram
  • Facebook
  • TikTok
             

            Wczytywanie komentarzy...
             

              • Komentarz
              • Rebloguj
              • Subskrybuj Zapisan/y/a
                • Matematyka Korepetycje
                • Masz już konto na WordPress.com? Zaloguj się teraz.
                • Matematyka Korepetycje
                • Subskrybuj Zapisan/y/a
                • Zarejestruj się
                • Zaloguj się
                • Kopiuj skrócony odnośnik
                • Zgłoś nieodpowiednią treść
                • Zobacz wpis w Czytniku
                • Zarządzaj subskrypcjami
                • Zwiń ten panel
              %d